一、蒸汽質量計量與熱量計量
以往蒸汽貿易結算,由于測量手段落后,國內外都沿用質量計量法。盡管人們對這種方法的合理性早有質疑,但由于質量流量測量相對較簡單,而熱量計量方法在模擬式儀表中實現較為困難,因而質量計量法還是為人們所接受。
在計算機技術進入流量儀表之后,蒸汽熱量計量和質量計量都變得簡單了,于是人們實現熱量計量的呼聲就變成了具體行動。
水蒸氣是使用最普遍的熱載體。但是在其發生和輸送過程中,狀態變化難以避免,鍋爐出口或減溫減壓站出口的蒸汽、溫度和壓力總是有一定幅度的變化,于是蒸汽的比焓(單位質量蒸汽所含的熱量)相應變化。更嚴重的問題是蒸汽經過長距離輸送后,由于沿途損失熱量,蒸汽的品位下降,例如在減壓站出口處,蒸汽的工況為p=0.9MPa(A)、t=280℃,這時的比焓為3012.0kJ/kg,而到末端用戶處,工況就可能變成p=0.8MPa的飽和蒸汽,這時的比焓降為2767.5kJ/kg。而且這種工況也不是固定不變的,隨著季節的變化、天氣的變化、用戶負荷的變化等,管道中的蒸汽壓力和溫度總是在變化著的。采用質量計量法最吃虧的是末端用戶。
質量計量方法對供方來說也并不總是合算的,因為供方對用戶承諾的蒸汽品質指標不可能恰到好處。為了確保承諾的指標,供方總是要留有裕度,此裕度對供方來說就意味著利潤的流失。
改用熱量計量后,計量結果既包含了蒸汽的數量,也包含了蒸汽的品質,上述的幾種不合理現象被消除,因而體現了計量的公平和公正。
二、蒸汽熱量的計量方法
蒸汽熱量計量是建立在蒸汽質量計量基礎上的,它們之間的基本關系是蒸汽質量與單位質量的蒸汽所包含的熱量的乘積,即為熱流量。但是,隨著工藝流程的差異和參考點不同,熱流量計算的表達式也就不一樣。
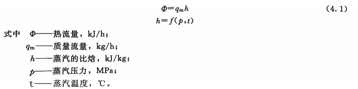
(1)冷凝水不返回的特殊用戶
對于冷凝水不返回的特殊用戶,其系統圖如圖4.1所示,其熱量定義為以t=0℃的水之焓為參考點的實際使用條件下的蒸汽焓值。其表達式為

熱量表(或流量演算器、計算機等)按照測量得到的蒸汽壓力、溫度,查存儲在儀表內的蒸汽表格,得到蒸汽密度和比焓,進而計算qm和Φ。
該計量方法也可用來對蒸汽發生器輸出熱量進行計量。
由于該計量方法以t=0℃時水的焓為參考點,用戶難免提出異議,因為動力廠原料水(冷水)中所含的熱量也視同蒸汽中所含熱量作價賣出,似有不合理之處。若冬季水溫以10℃計,夏季水溫以25℃計,低壓蒸汽比焓以2.8MJ/kg計,則冷水中的熱量與蒸汽中總熱量之比在冬季約為1.4%,在夏季約為3.6%。解決這一問題的合理方法是供用雙方協商一個雙方都能接受的協議參考點,對表計量結果進行適當處理,作為結算熱量。
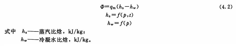
(2)蒸汽凈熱量計量
蒸汽凈熱量計量適用于冷凝水全額返回的用戶,其系統如圖4.2所示。其表達式為

為了簡化起見,冷凝水溫度假設與熱交換器上游測量到的壓力所對應的飽和蒸汽溫度相等。
這一方法既適用于過熱蒸汽,又適用于飽和蒸汽。
(3)熱量差計量方法
熱量差計量方法也適用于冷凝水全部返回的用戶,其系統如圖4.3所示。其測量原理是飽和蒸汽提供的熱量扣除冷凝水中殘存的熱量,即為熱交換器從蒸汽抽取的熱量。其表達式為

這一方法僅適用于飽和蒸汽是因為目前商品化的定型的流量(熱量)顯示表通常只有三個模擬輸入通道,如果用于過熱蒸汽,就必須增加一個輸入通道用于過熱蒸汽溫度信號的輸入。實現的方法可用計算機。