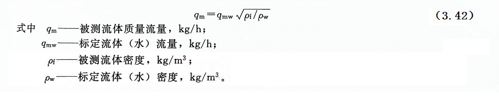
得到水流量值還不是最終目的,因為被測流體不一定是水,當被測流體為其它流體時,用式(3.42)進行密度校正。

②雷諾數校正
孔板流量計的流量系數同雷諾數之間有確定的函數關系,當質量流量變化時,雷諾數成正比變化,因而引起流量系數的變化。在GILFLO型流量計中,采用較簡單的經驗公式(3.43)進行雷諾數校正。

③溫度對線性孔板的影響及其校正
溫度對線性孔板影響使之產生誤差主要通過三條途徑。
a.流體溫度變化引起流體密度變化,從而導致差壓與流量之間的關系變化。
b.流體溫度變化引起管道內徑、孔板開孔直徑以及活塞幾何尺寸的變化,溫度升高,環隙面積增大,導致流量計示值有偏低趨勢。
c.流體溫度變化,線性孔板中的承載彈簧溫度相應變化,引起式(3.36)中的彈簧常數 K?發生變化。溫度升高,K?減小,活塞位移X增大,用通俗的話來說就是溫度升高,彈簧變軟,在相同的差壓條件下,活塞位移增大。因此,環隙面積相應增大,流量計示值也有偏低趨勢。
上述三條途徑對流量示值的影響都可以進行校正,其中途徑a可由式(3.46)中的流體密度進行補償。在線性孔板用來測量蒸汽流量時,流體溫度作為自變量,參與查蒸汽密度表,從而可由二次表自動進行此項補償。途徑b和c流量示值的影響關系較復雜,在GILFLO型流量計中,采用式(3.44)所示的經驗公式進行校正。

此項校正也是在流量二次表中完成的,其中t為來自溫度傳感器(變送器)的流體溫度信號。
④可膨脹性校正
節流式差壓流量計用來測量蒸汽、氣體流量時,必須進行流體的可膨脹性校正,線性孔板也不例外。在GILFLO型流量計中用式(3.45)進行校正。

可膨脹性校正也在流量二次表中完成,由二次表進行在線計算。
⑤蒸汽質量流量的計算
用GILFLO型流量計測量蒸汽流量時,蒸汽質量流量在二次表中由式(3.46)計算得到。

GILFLO型流量計的安裝如圖3.47所示。
