一、現象
中石化某分公司去生活區蒸汽分表之和只是總表的60%,其余40%的蒸汽到哪里去了?各分表前疏水采集稱重也沒那么多。

二、分析與診斷
(1)系統的組成
提問者所說的系統包括1臺總表和4臺分表。總表為孔板流量計,流體為過熱蒸汽;4臺分表中2臺是孔板流量計,另2臺是渦街流量計,流體均為濕飽和蒸汽。
令提問者不解的是分表示值之和加上分表之前的疏水量,還是比總表示值小很多,幾臺表又查不出毛病。
(2)差量分析
①該公司是中石化系統老廠,技術力量雄厚,儀表系統設計、安裝規范,所以假定5套流量計均不存在低級錯誤。
②總表工作條件比較優越,因為流體為過熱蒸汽,所以總表的測量準確度可信。
③4套分表均工作在飽和蒸汽的工況條件下,從原理分析各臺表均偏低。
(3)濕蒸汽中的水對渦街流量計的影響
濕蒸汽中的水在蒸汽中存在的形式有兩種:一種是以小水滴的形式均勻地懸浮在蒸汽中,猶如大氣中的迷霧;另一種是在水平管道底部作分層流動,蒸汽流速快,凝結水流速慢。
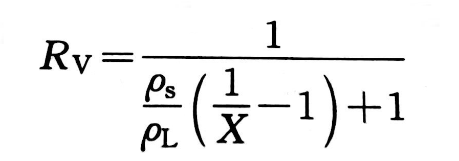
濕蒸汽中的水對渦街流量計的影響可用文獻中推導出的公式來分析,該公式如式所示:

式中: Rv——濕蒸汽干部分體積流量與濕蒸汽總體積流量之比;
ρs ——飽和蒸汽干部分密度,kg/m3;
ρL ——飽和水密度,kg/m3;
X——濕蒸汽的干度。
例如:濕飽和蒸汽壓力為1.1MPa(絕壓)、X=90%時,ρs=5.6808kg/m3ρL=882.47kg/m3,將X、ρs和ρL值代入式得Rv=99.93%。即雖然水與濕蒸汽的質量比達10%,但在總體積中占的比值僅有0.07%。在工程上,0.07%的比例可忽略,因此可以說渦街流量計的輸出頻率全由汽相部分做的貢獻。
由此可見,用渦街流量計來測量濕飽和蒸汽,如果測量任務是濕蒸汽的質量流量,那么儀表少計是必然的。
(4)濕蒸汽中的水對孔板流量計的影響
從式所示的差壓式流量計的基本關系式可知,如果水在汽相中的存在形式是均勻分布,蒸汽從臨界飽和狀態變成濕飽和蒸汽后,相同質量流量的濕蒸汽通過差壓裝置,由于密度ρ增大,所產生的差壓值成反比減小,但此差壓經變送器轉換成電信號,再送入流量演算器計算質量流量時,流體密度仍按臨界飽和狀態處理,所以計算得到的質量流量仍然是負偏差。由于差壓測量不確定度對質量流量不確定度影響的表達式中,靈敏系數為1/2,所以質量流量偏低值只為流體密度偏高值的1/2。
當水在蒸汽中的存在形式為分層流動時,水一般從孔板的疏水孔中流到孔板下游,如果疏水孔被堵,水也從孔板的開孔中流到下游,兩種情況都是流量測量結果出現負偏差。
由此可見,用孔板流量計來測量濕飽和蒸汽,如果測量任務是濕蒸汽的全部質量流量,那么儀表少計也是必然的。
三、診斷分析結論
本實例中,分表示值之和與總表示值之間的量差,除了分表之前的疏水之外,其余部分主要是由分表少計引發的。
各分表之前的管道上安裝的疏水器,只能將水平管道底部分層流動的水疏掉,無法將懸浮在氣相中的小水滴疏掉,而且分層流動的水疏掉之后,濕飽和蒸汽在管道中從疏水器安裝處流到流量計安裝處,管道內還會繼續生成凝結水,這就引發了分表的少計。
四、流量計少計數量的測定
流量計對蒸汽的質量流量進行計量,其準確度可用測定凝結水總量的方法驗證。
如果流經流量計的蒸汽全部變成凝結水,而且不存在外泄,這時蒸汽若為過熱狀態或臨界飽和狀態,凝結水總量應與流量計所計總量相等。蒸汽若帶水,則凝結水總量與流量計所計總量的差值即為流量計少計的量
