存在問題
某熱電公司經一臺DN300孔板量計計量,向一家印染廠供汽,流量測量范圍0~30t/h,差壓上限40kPa。
由于金融危機影響,印染廠經常低負荷運行。有一次用戶將蒸汽總閥關閉,發現流量示值仍在0~1t/h之間變化,遂對流量計的準確性提出異議,并懷疑從前的計量數值都是偏高的。供方儀表工程師檢查差壓裝置及導壓管等輔助設備,不堵不漏,排污正常。校驗差壓變送器和二次表等,也都合格,但重新開表后,流量計示值仍然無中生有。維修人員只得將小信號切除點從流量上限的 3%增大到4%,對應的流量值為1.2t/h。雖然零點指示穩了,卻留下隱患。因為用戶若以很小的流量用汽,儀表計量可能嚴重偏低。
分析與診斷
察看儀表安裝現場,認為儀表的安裝是合格的。差壓裝置安裝在約4m標高的水平管道上,差壓從水平方向引出,經根部閥去冷凝罐,然后保持一定坡度去三閥組和差壓變送器,差壓式流量計安裝圖如下圖所示。 
但發現一個重要的問題,即差壓裝置的根部閥從外形來看是針形閥,而且手柄朝上。這應當是流量計零點示值不穩的一個重要原因。
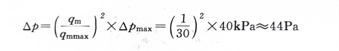
根據提問者所說的零漂幅值,可按下面的計算公式計算出零漂所對應的差壓值:
(1)數毫米水柱的差壓信號是如何生成的?
母管上的總閥關閉后,管內流體停止流動,差壓裝置送出的差壓信號肯定為0,而差壓變送器接收到的差壓有數毫米水柱的擺動,其起因源于針形閥。
①冷凝罐的作用 在圖2.16所示的差壓裝置中,冷凝罐的作用有兩個。

其一是使母管中溫度很高的蒸汽,在罐中依靠其較大的換熱面積放出熱量,變成凝結水,從而將差壓變送器同母管內的蒸汽隔離開來,保護儀表使之不被燙壞。
其二是利用冷凝罐較大的截面積,使其罐內液位保持在較穩定的數值,從而改善流量測量的動態特性。因為差壓變化時,差壓變送器工作,其膜盒總是有一定的位移,所以,總是要從冷凝罐內吸收一定容積的液體或向冷凝罐送出一定容積的液體。其中,向冷凝罐送出液體一般不會使罐內液位有明顯的升高,因為它可以利用其溢流口使液位保持穩定,但從冷凝罐吸收液體,必定會使罐內液位降低。
隨著差壓變送器制造技術的改進,其膜盒面積越來越小,膜盒位移也越來越小,甚至可以忽略不計,所以這第二個作用已基本失去意義。但是,第一個作用總是需要的。
②汽液交換過程在冷凝罐正常工作時,其上部總是很燙的,這是由于母管內的蒸汽進入罐內,為其輸送熱量。
母管與冷凝罐進行汽液交換包括兩部分,一是母管內的蒸汽經根部閥進入冷凝罐,二是冷凝罐內的液體返回母管。不管是蒸汽流過來還是凝結水流回去都存在流體流動,都需要動力。其中蒸汽流過來的動力應是母管內的壓力升高或冷凝罐內蒸汽損失熱量,部分凝結成水而體積縮小,壓力降低。
蒸汽從母管內流過來,先是在動力的推動下,將針形閥流路內的積水吹向冷凝罐,由于針形閥流路的形狀為低進高出,所以將積水推向冷凝罐意味著冷凝罐內汽相壓力低于母管。而且意味著冷凝罐內液位高于溢流口,從而為凝結水流回母管創造條件。
凝結水從冷凝罐流回母管,意味著罐內液位高于溢流口。
上述氣液交換的過程,如果正負壓管完全同步,交換的方向也完全一致,差壓裝置取壓口的差壓轉換成凝結水的差壓并不會產生差壓值的變化,但是有誰能保證這種交換既同步又同向呢?由于這個原因差壓信號就產生了雙向的漂移。
(2)根部為閘閥時不會產生這種雙向漂移
下圖所示是一臺DN500的新型差壓式流量計的運行數據歷史曲線。采用的是閘閥作為根部閥,其流量測量范圍為0~100t/h,差壓上限為100kPa。圖中讀數線對應時刻顯示1.00的是蒸汽壓力歷史曲線,計量單位為MPa;顯示183.36的是蒸汽溫度曲線,計量單位為℃;顯示5.63的是蒸汽密度曲線,計量單位為 kg/m3;顯示0.93的是瞬時流量曲線,計量單位為t/h,此時的理論差壓值為8.65Pa,約0.9mmH2O。從曲線寬度分析,差壓值非常穩定,這得益于汽液交換的連續進行。即總是有蒸汽從母管經閘閥圓形流通截面的上半部緩慢地流向冷凝罐。同時有凝結水經閘閥的圓形流通截面的下半部緩慢地流向母管。蒸汽和凝結水的流動方向相反,但互不干擾,所以差壓信號不產生傳遞失真。

(3)針形閥引發的干擾對流量測量的影響
1、流量較大時感覺不到干擾的存在。由針形閥引發的干擾是雙向的。從上面的計算可知,約為±44Pa,在相對流量較大,例如70%qmmax時,由于差壓平均值較大,此干擾只表現為很小的噪聲。
在流量為70%qmmax時,差壓約為19.6kPa,這時,±44Pa的差壓波動引起的流量噪聲約為示值的±0.11%,所以人們感覺不到它的存在。
2、流量較小時,就是一個很大的威脅。如前所述,在總閥關閉時,此干擾帶來的影響就是1t/h的示值。
3、為什么出現1t/h的示值?針形閥引發的干擾,其負向部分,由于差壓變送器對應的輸出<4mA,此信號經開方運算,流量信號即為0。其正向部分,差壓變送器對應的輸出>4mA,所以經開平方運算,流量信號即為1t/h。
4、上面的計算數據是假定差壓信號除了針形閥引起的傳遞失真之外,沒有其他傳遞失真,而且差壓變送器和二次表都沒有誤差的情況下得出的,如果考慮其他誤差,分析還要復雜。盡管如此,上面的分析方法還是正確的。

